Drill seeding: How deep is too deep?

Submitted by CBaez Ve on
Alex Ceseski

How deep is too deep to drill rice in California? I’ll get the obvious answer out of the way first: it depends! 

If you’re thinking of trying out drill seeding in the future, there’s going to be a learning curve. Much like with water-seeded rice, your variety selection matters as much as the weather, planting date, water and nutrition management, and weed and pest pressure do. I conducted a series of field and greenhouse trials at the Rice Experiment Station and at UC Davis to obtain data on variety selection and drilling depth a few years ago. Given the renewed interest in using drilling as an alternative cropping method for California rice, I think it’s a good idea to highlight some of my findings. 

Greenhouse trials 

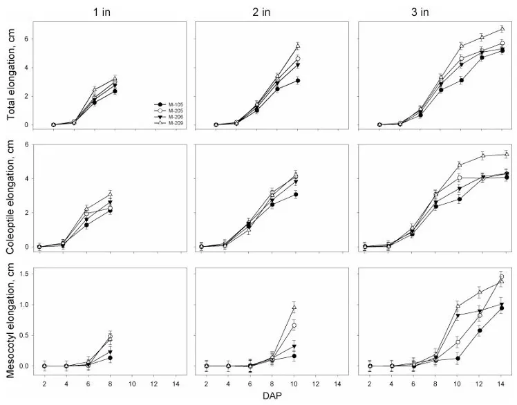
Variety depth trials were conducted in 2016-2017 with M105, M205, M206, and M209. These represented the most commonly used varieties at that time. Seed was planted at depths ranging from 0” to 3”, into draining tubs filled with RES field soil, which was a heavier adobe clay. Irrigation consisted of about ½” of water every 8 days, just enough to keep the root zone moist. I had two major objectives for these trials: the first was to evaluate germination and seedling elongation below the soil, and the second was to evaluate emergence and early growth above the soil.

Germination and elongation 

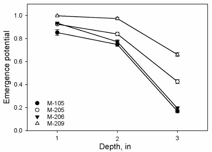
All of the varieties had over 94% germination; however, elongation and emergence were dramatically different for each variety. M209 and M205 tended to have the most rapid elongation in the heavy clay soil (Fig. 1), which is a good indicator of relatively higher vigor in those varieties. The proportion of germinated seed which eventually emerged was even more telling (Fig. 2), as it leaves out sterile, ungerminated seed. Here, we can see that M209 and M205 have a greater emergence potential at all depths, with M209 having almost 100% emergence potential when planted at 2”. With that said, notice the sharp drop off in emergence between 2” and 3”.

Emergence and growth 

Total emergence and emergence over time also give important indicators of the limits to the differences between varietal planting depths. Although all varieties saw declines in total emergence at depths greater than 1”, M209 outperforms the other varieties in terms of total emergence from 2” and deeper (Fig 3). Interestingly, the total “emergence” (which is just germination in this case) seen at 0” depth was lower and more variable for all varieties than at ½” or 1”. Emergence over time tells a similar story, with time to 50% emergence being 1-2 days faster for both M209 and M205 at depths greater than 1”. Emergence rapidity or evenness- is also important, as the faster a good stand appears, the faster you can make your next management decision. Again, M209 and M205 outperformed the other varieties below 1” depth, with M209 and M206 going from 50-90% emergence in 1-1.5 days, while M105 and M206 needed 3.5 and 2 days, respectively. M105 seedlings tended to be shorter and have fewer tillers than the other varieties by 4 weeks after planting. Taken together, the results of both studies suggest that M205 and M209 are more vigorous than M105 and M206, and that planting depth shouldn’t be greater than about 2 inches.

What does this mean in the field? 

I need to stress that the above findings were obtained in a greenhouse under controlled conditions. After eight days with no irrigation, the soil in the tubs did not dry-down and crack in the same manner one might expect in a field. This means that the seedlings were pushing through the damp soil, without any cracks in the soil to hasten emergence. Indeed, this cracking and rapid emergence is precisely what we saw in field trials run from 2016-2021. These studies focused on M206 and M209 planted to 13/8” and 23/8”. Under favorable weather and irrigation conditions, the soil surface would crack along the drill furrows, and essentially all of the rice would emerge in a 1-1.5 day period, usually 5-6 days after the first irrigation. This was surprising at first, as there was no real difference in emergence rate or density between variety or depth. On the one hand, this is good news if you’re nervous about stand emergence, but on the other it gives a relatively short window for any weed management strategy that could injure the rice.

Under unfavorable conditions, however, the response of the different varieties to planting depth was pronounced. Generally, we found that M206 had a marked decrease in emergence under cooler or wetter weather, whereas M209 emerged a bit more slowly but still had very good stand density. In any case, if stands are reduced, increased tillering should make up much of the difference and protect grain yield. If planted later, around June 1, M209 reached 50% heading several days later than M206 and had decreased head yields when harvested in mid-October.

Another important consideration is lodging. Water-seeded rice is prone to lodging, but drilled rice has shown itself to be quite lodging-resistant. This can be a benefit both in terms of harvest speed and quality, as field drydown should be quicker than in a lodged field, and your combine or gleaner should be able to get through a field faster and with fewer grain left on the ground. 

We did not test M210 or M211 in our trials, however M210 should perform much the same as M206, and I would guess that M211 should have seedling vigor similar to M205 or M209. I would encourage anyone interested in drill seeding rice to consult their local UCCE Advisor, as local soil and climate conditions will doubtless play a big role in deciding whether drilling is a good idea at all, to say nothing of variety or planting depth. More information about the trials I conducted can be found at https://doi.org/10.1002/csc2.20504 and https://doi.org/10.1016/j.fcr.2021.108369.

Image
various graphs on rice seed elongation

Figure 1. Rice seedling elongation at different planting depths. 

 

Image
seedling emergence potential graph

Figure 2. Rice seedling emergence potential, defined as the proportion of germinated seeds which emerge.

 

Image
seedling emergence graph totals

Figure 3. Rice seedling total emergence, 28 days after planting.


Source URL: https://ucanr.edu/blog/uc-rice-blog/article/drill-seeding-how-deep-too-deep