Overview
Three years of data indicate that liquid-injected biosolids-based fertilizers (LBF, using 'Lystegro' from Lystek) are a viable alternative to conventional forms of nitrogen (N) fertilizer on a total N basis in wheat rotations in the southern Sacramento Valley. Lab data comparing LBF, pelletized biosolids-based fertilizers (PBF), and urea provide additional insight into soil phosphorous (P), salinity (EC), soil pH, and N mineralization responses after additions of the treatments.

Above: Application of LysteGro (Liquid-Injected Biosolids-Based Fertilizer, LBF) in Solano County
Introduction
As more California municipalities begin to prioritize the diversion of waste products from landfills into agricultural systems, it is pressing for growers to understand how to utilize new inputs such as liquid-injected biosolids-based fertilizer (LBF) in their operations.
Biosolids-based fertilizers can generally provide subsidized and therefore cost-effective sources of N for small grains and other agronomic crops. However, while there have been long-term biosolids studies using materials derived from biosolids, near-term performance needs to be understood and documented to improve grower confidence and capacity in the utilization of these products.


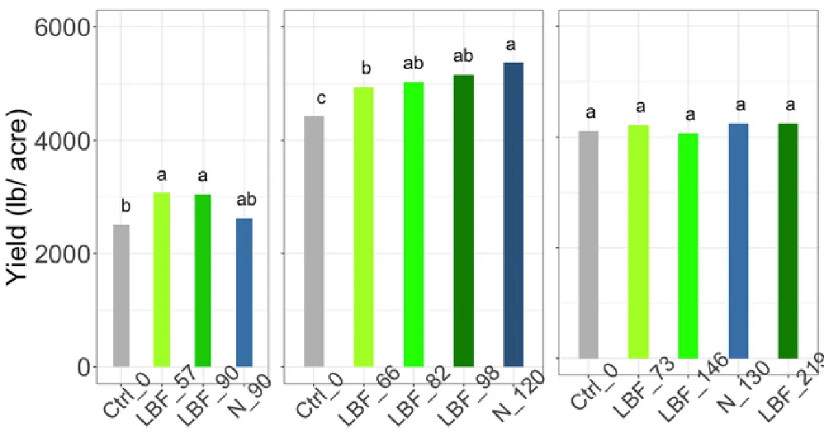
Figure 1: Yield and protein data from field trials over three site years in the Southern Sacramento Valley. Conventional N fertilizer treatments are indicated in blue. Shades of green represent biosolids treatments, with higher rates represented by progressively darker shades of green. N equivalents are represented numerically in each of the labels (i.e. LBF_57 is 57 pounds of N per acre as Liquid-Injected Biosolids-Based Fertilizer). Letters above each column indicate whether there is a significant difference between treatments. Columns with the same letter are not significantly different from one another.

Figure 2: Yield and protein data from the trials across 3 years modeled at 60, 90, and 120 pounds of total N applied per acre. Differences in predictions are insignificant, indicating that both materials appear to perform similarly in terms of total N applied per acre.
Methods
The objective of this research was to evaluate the yield and protein performance of LBF as an N source in small grains relative to conventional forms of N fertilizer. Lab incubations were intended to provide information on the response of soil P, N, pH, and EC to different treatments over a period of 12 weeks.
Field trials took place over the course of three planting seasons (Table 1). Wheat was typically planted in late November to early December. LBF and nitrogen (as UAN 32 or anhydrous ammonia) were added to fields pre-plant. LBF and anhydrous ammonia treatments were injected six-inches deep. UAN 32 was added prior to incoming rain. No in-season additions of N were added in these trials because biosolids cannot be injected mid-season and the objective of the trial was to make an apples-to-apples comparison based on the type of material.

Table 1: Information on three growing sites/ years where trials took place.
Laboratory incubations were also carried out to examine the behavior of the LBF relative to a pelletized biosolids-based fertilizer (PBF), and conventional N fertilizers (as urea).
Results and Discussion
Results from the field trials indicate that LBF produces generally equivalent yield and protein results in small grains when compared to conventional forms of fertilizer as an N source (Figure 1) when used in pre-plant applications. Other findings indicate that there may be some ancillary benefits associated with the use of LBF as an N source by way of providing a source of P (Figure 3), carbon, micronutrients, and water.
Lab incubations reflected some of the patterns witnessed in the field: Increases in P, slower N mineralization rates, and otherwise similar soil chemistry outcomes relative to that of conventional fertilizer, particularly after 12 weeks (Figure 3).
Organic matter was not seen to increase significantly in-season, but the fact that the LBF material is 10% solids, and those solids are roughly 30% carbon from organic matter means that additions of carbon, micronutrients, and water could be advantageous to crop growth.
Incubations

Figure 3: N mineralization, available phosphorous, salinity (as electrical conductivity, EC ), and pH results from 12-week lab incubations at 70 degrees F, comparing LBF, PBF, and pelletized urea mixed into a Yolo loam at 90 lbs N / acre. Significant difference between treatments is indicated within a given week by different letters.
Conclusion
Small grain growers working in the southern Sacramento Valley or in similar climates should feel confident that LBFs will likely perform as well as conventional sources of N when applied at similar rates of total N. LBFs may also provide additional benefits to growers in the form of increased P, micronutrients, or additional soil moisture. Growers should also consider the combined use of biosolids and in-season conventional N additions when needed. As always, good N-management and monitoring can greatly improve grower capacity for success.
